­

Data imputation for incomplete measurements in power systems

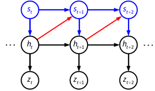
  • Leveraging dynamical systems theory, our imputation techniques:
    • Learn the hidden patterns of time-series sensor data with
      high spatiotemporal correlation
    • Mine their underlying dynamics to gain insight into the evolution of the process being monitored

 

Dataset: EPFL Smart Grid [Online].

Available: EPFL Smart Grid

More: https://gitlab.cttc.es/supercom/pmuimputation

­
We use cookies

We use cookies on our website. Some of them are essential for the operation of the site, while others help us to improve this site and the user experience (tracking cookies). You can decide for yourself whether you want to allow cookies or not. Please note that if you reject them, you may not be able to use all the functionalities of the site.