­
PROCESS LTE DATA
PROCESS SYNTHETIC WIFI DATA
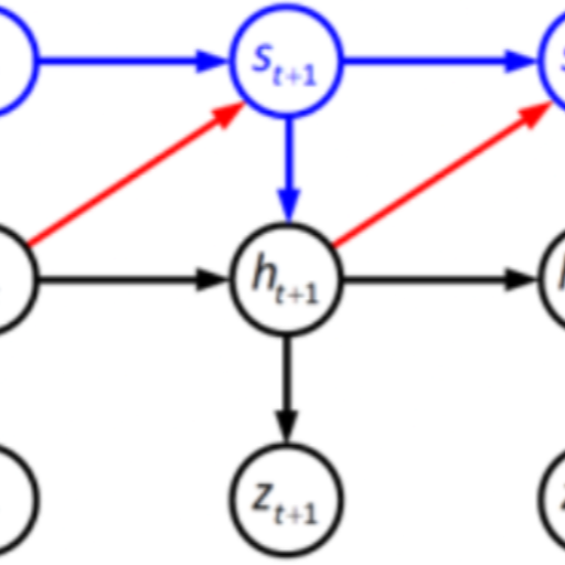
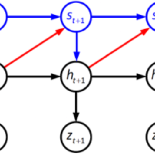
MOBILE TRAFFIC MODELING
Direct load control for energy harvesting systems
Data imputation for incomplete measurements in power systems
Data compression of high dimensional measurements in power systems
Optimized digital twin for fault diagnosis
End-to-end condition monitoring and visualization
MISBEHAVIOR DETECTION IN VEHICULAR NETWORKS
Eyeguard
Federated learning implementations
AI for cyber defense in IoT
­
We use cookies

We use cookies on our website. Some of them are essential for the operation of the site, while others help us to improve this site and the user experience (tracking cookies). You can decide for yourself whether you want to allow cookies or not. Please note that if you reject them, you may not be able to use all the functionalities of the site.