­

Data compression of high dimensional measurements in power systems

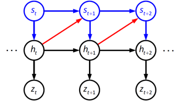
  • Instead of directly storing sensor observations, compression is accomplished by means of temporally downsampling latent variables and further storing learned parameters.
  • Compression schemes are characterized by a balanced approach to the tradeoff between compression ratio and reconstruction error.

Dataset: EPFL Smart Grid [Online].

Available: EPFL Smart Grid

More: https://gitlab.cttc.es/supercom/pmucompression

­
We use cookies

We use cookies on our website. Some of them are essential for the operation of the site, while others help us to improve this site and the user experience (tracking cookies). You can decide for yourself whether you want to allow cookies or not. Please note that if you reject them, you may not be able to use all the functionalities of the site.